Uniform Circular Motion Reading Questions

Click here to go the reading pages for these questions.

You can either print this page or number your paper and answer the questions while redrawing the pictures.

1.

 

What is meant by the word UNIFORM when describing circular motion?

2.

A car is turning left. Three of its positions are shown below. What direction is the force pointing that turned the car? Draw a force arrow for each car.

3.

 

Apply what you have read. A car is moving at 10 mph. What would the motion of the car look like if the speed of 10 mph did not change but the car experienced an acceleration?

4.

The diagram below shows a ball moving in a circle. Draw and label the radius, tangential velocity, centripetal acceleration, and centripetal force vectors on the ball.

5.

Measure the period of motion of the Ferris wheel shown below.

 

6.

What is the frequency of the Ferris wheel above?

 

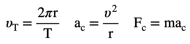
7

No question. These are the important equations for uniform circular motion. Use them in problem solving.

8.

List the variables for each formula above, include S.I. units on your answers.

 

9.

Based on the the example problems and the video solutions on page 5. List a set of instructions to follow when solving circular motion problems.

10.

If the radius of the Ferris wheel above is 5 m, using the period you measured, calculate the tangential velocity of the Ferris wheel's chair that the riders sit in.

11.

In addition to the period of motion calculated earlier, the rider travels in a radius of 6.00 meters around the center of the Ferris wheel. Calculate the centripetal force of an 85.0 kg rider on the Ferris wheel in the yellow seat?

 


by Tony Wayne ...(If you are a teacher, please feel free to use these resources in your teaching.)

The owner of this website does not collect cookies when the site is visited. However, this site uses and or embeds Adobe, Apple, GoDaddy, Google, and YouTube products. These companies collect cookies when their producs are used on my pages. Click here to go to them to find out more about how they use their cookies. If you do not agree with any of their policies then leave this site now.